12月5日上午,脉策科技首席经济学家陈沁博士应邀来到复旦大学,就“如何用大模型帮助我们工作”的问题,为bat365在线登录网站注册赠送36专业硕士的同学们带来了一次全面、生动的实务性讲座。本次讲座由bat365在线登录网站注册赠送36樊潇彦老师主持。
陈老师从大模型的运行原理、使用大模型的原生能力、给大模型增加知识,以及智能体的构建四方面系统地介绍了大模型在学术研究和商业实践中的应用。

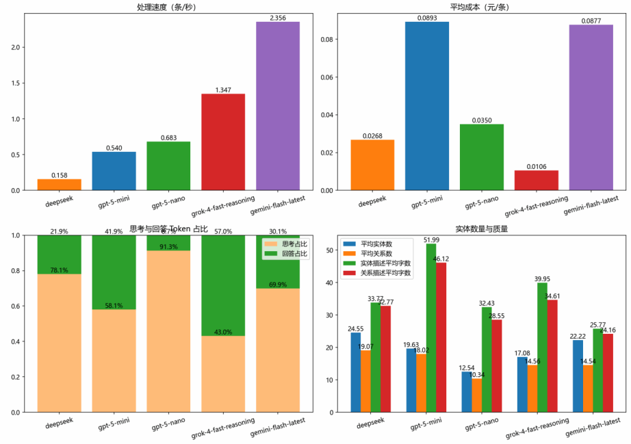
陈老师首先从理论层面,简明扼要地介绍了大模型的基本原理和主要算法,之后从实践角度给出了用大模型做研究的“路线图”,讲解了实际研究的案例,并对当前国内外主流大模型的性能做了测评和比较。


在Q&A环节,bat365在线登录网站注册赠送36师生就自己在日常研究和学习中遇到的问题和陈老师进行了深入交流。



讲座结束后,学院师生与陈老师合影留念。感谢陈沁博士的精彩分享!
审核人:樊潇彦,王贞